




原价:¥16.8现价:¥14.8
由“当当网官方旗舰店”分享
💥小红书种草笔记:交大之星冲刺名校小升初数学、语文、英语、阅读、语法、听力专项训练试卷,助力你的初中冲刺🏆
📚 嗨,宝贝们!今天我要分享一款超级实用的学习资料,那就是——交大之星冲刺名校小升初数学、语文、英语、阅读、语法、听力专项训练试卷。真的是一套非常全面且贴心的复习资料,让我彻底爱上了学习!
🎁 券后价仅需14.8元,真的是超级划算!这款资料绝对能满足你对知识的渴望和追求。特别是对于五六年级的学生来说,更是需要这样的复习资料来帮助自己巩固基础,提高成绩。
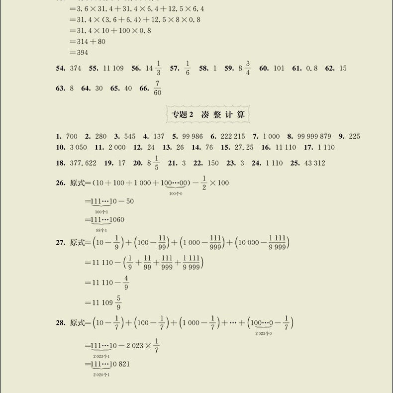
🔍 从这款试卷的呈现形式和内容来看,简直是诚意满满!试卷的设计非常人性化,分类清晰,重点突出。从数学计算题的应用题强化训练,到语文基础知识巩固,再到英语阅读、语法和听力专项训练,每一种题型都有详细的解析和提示,让你在学习的过程中事半功倍。
🎯 在我使用的过程中,我发现这套资料真的非常实用。它不仅能够帮助我巩固和加深对数学、语文、英语等科目的理解,还能够帮助我提高解题技巧和速度。更重要的是,它能够激发我的学习热情和兴趣,让我更加热爱学习。
🌟 对于想要在升学中取得好成绩的学生来说,这款资料绝对是必备之选。我相信只要你使用它,一定能够取得更好的成绩。而且,它的使用也非常方便,可以在任何时间、任何地点进行学习。
总结一下,这款交大之星冲刺名校小升初数学、语文、英语、阅读、语法、听力专项训练试卷真的是一款非常值得推荐的学习资料。如果你也想在升学中取得好成绩,不妨试试这款资料吧!💪
#交大之星冲刺名校 #数学计算题应用题强化训练 #语文基础知识巩固 #英语阅读语法听力专项训练 #初中复习资料 #券后价14.8 #学习神器 #宝贝们值得拥有
#小红书种草笔记 #初中冲刺必备 #学习资料推荐
小升训练之星应用题复习资料
小升训练之星应用题复习资料
